聚合物电解质膜燃料电池模型的参数估计
Application ID: 126861
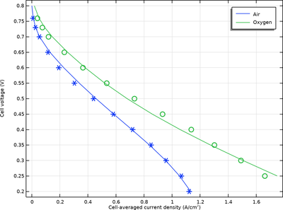
本教程演示如何使用稳态极化数据对聚合物电解质膜燃料电池 (PEMFC) 模型进行参数估计。
模型中定义了一个具有五层膜电极组件 (MEA) 的二维结构,其中包含电子和离子电荷平衡、Butler-Volmer 动力学,以及氧气/空气的气体扩散层和电极(催化层)中的气体扩散和对流传递。
为了估计模型的四个参数,使用了两组极化数据,分别对应湿润氧气或空气混合物。
案例中展示的此类问题通常可通过以下产品建模:
您可能需要以下相关模块才能创建并运行这个模型,包括:
建模所需的 COMSOL® 产品组合取决于多种因素,包括边界条件、材料属性、物理场接口及零件库,等等。不同模块可能具有相同的特定功能,详情可以查阅技术规格表,推荐您通过免费的试用许可证来确定满足您的建模需求的正确产品组合。如有任何疑问,欢迎咨询 COMSOL 销售和技术支持团队,我们会为您提供满意的答复。
