集总电池老化分析模型
Application ID: 74421
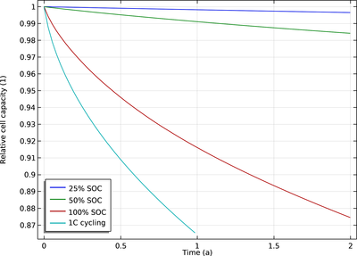
本教学案例演示如何使用“集总电池”接口对电池容量损失进行建模,在假设电池电极的内部结构或设计以及材料选择都未知的前提下,使用一组集总参数来描述电池的寄生反应引起的容量损失。
老化分析包括日历寿命和循环寿命研究。
案例中展示的此类问题通常可通过以下产品建模:
您可能需要以下相关模块才能创建并运行这个模型,包括:
建模所需的 COMSOL® 产品组合取决于多种因素,包括边界条件、材料属性、物理场接口及零件库,等等。不同模块可能具有相同的特定功能,详情可以查阅技术规格表,推荐您通过免费的试用许可证来确定满足您的建模需求的正确产品组合。如有任何疑问,欢迎咨询 COMSOL 销售和技术支持团队,我们会为您提供满意的答复。
