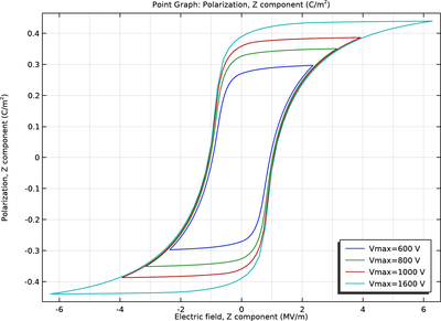
铁电材料的滞回现象
Application ID: 90071
铁电材料在大的外加电场下表现出非线性极化特性,例如磁滞和饱和。许多压电材料是铁电性的。模型分析了一个由 PZT 压电陶瓷材料制成的简单执行器,该执行器受到外加电场的作用。
案例中展示的此类问题通常可通过以下产品建模:
您可能需要以下相关模块才能创建并运行这个模型,包括:
建模所需的 COMSOL® 产品组合取决于多种因素,包括边界条件、材料属性、物理场接口及零件库,等等。不同模块可能具有相同的特定功能,详情可以查阅技术规格表,推荐您通过免费的试用许可证来确定满足您的建模需求的正确产品组合。如有任何疑问,欢迎咨询 COMSOL 销售和技术支持团队,我们会为您提供满意的答复。
