球形橡胶气球的膨胀
Application ID: 12599
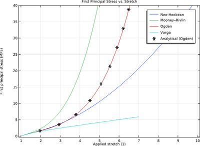
模型旨在使用不同超弹性材料模型研究橡胶气球的膨胀,并将结果与解析式进行了比较。
可控的膨胀有益于临床应用、心血管研究和医疗器械行业,因此了解气球膨胀过程中的超弹性特性非常重要。示例源自 G. Holzapfel 编著的 "Nonlinear Solid Mechanics" 一书。
案例中展示的此类问题通常可通过以下产品建模:
您可能需要以下相关模块才能创建并运行这个模型,包括:
- COMSOL Multiphysics® 和
- 非线性结构材料模块 和
- 以下模块之一: MEMS 模块, 或 结构力学模块
建模所需的 COMSOL® 产品组合取决于多种因素,包括边界条件、材料属性、物理场接口及零件库,等等。不同模块可能具有相同的特定功能,详情可以查阅技术规格表,推荐您通过免费的试用许可证来确定满足您的建模需求的正确产品组合。如有任何疑问,欢迎咨询 COMSOL 销售和技术支持团队,我们会为您提供满意的答复。
