Souza-Auricchio 模型在单轴加载形状记忆合金中的应用
Application ID: 112331
本模型基于以下教科书中包含的基准示例汇编而成:
Shape Memory Alloys: Modeling and Engineering Applications. D. Lagoudas Ed. Springer 2008.
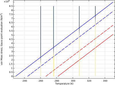
其中采用了 Souza-Auricchio 模型,以演示 NiTi 合金试样在单轴拉伸-压缩载荷作用下的热机械属性。
第一个参数化研究显示了不同温度下的伪弹性效应。第二个研究中添加了部分加载-卸载循环。第三个研究呈现了低温加载循环后形状记忆效应随温度升高的情况。
案例中展示的此类问题通常可通过以下产品建模:
您可能需要以下相关模块才能创建并运行这个模型,包括:
- COMSOL Multiphysics® 和
- 非线性结构材料模块 和
- 以下模块之一: MEMS 模块, 或 结构力学模块
建模所需的 COMSOL® 产品组合取决于多种因素,包括边界条件、材料属性、物理场接口及零件库,等等。不同模块可能具有相同的特定功能,详情可以查阅技术规格表,推荐您通过免费的试用许可证来确定满足您的建模需求的正确产品组合。如有任何疑问,欢迎咨询 COMSOL 销售和技术支持团队,我们会为您提供满意的答复。
