“案例下载”页面提供丰富的 COMSOL Multiphysics® 教学案例和 App 演示文件,涉及电气、结构、声学、流体、传热和化工等各个学科领域。欢迎下载这些教学案例或 App 演示文件及其随附的操作说明,将其作为您建模仿真工作的绝佳起点。
您可以使用左侧的【快速搜索】工具查找与您的专业领域相关的案例模型和仿真 App。请注意,此处提供的许多案例也可以通过 COMSOL Multiphysics® 软件内置的“案例库”进行访问,该选项位于软件的文件 菜单中。
中文 带有此标签的案例包含中文 PDF 文档。
此模型利用等离子体,时间周期 接口对美国国家标准与技术研究院 (NIST) 气体电子会议 (GEC) 参比电池进行二维研究。二维示例有助于理解物理场,而不会消耗过多的 CPU 时间。 该参比电池由固定功率驱动 ... 扩展阅读
本教学案例演示如何使用“感应/直流耦合放电”接口来模拟脉冲电弧中产生的等离子体。这种建模技术可用于广泛的工业应用,包括切割、焊接、喷涂、废物销毁和表面处理。 扩展阅读
本教学案例的研究演示在点对面配置情况下,干燥空气在一个大气压条件的负电晕放电。具有毫米尺寸的椭圆电极在发生电晕放电的位置产生了高强度电场。接地平面放置在距离电晕电极 10 cm 处,电压在 -5 到 -50 kV ... 扩展阅读
本教学案例求解微波腔中产生的氢等离子体,并以自洽的方式计算流体流动和气体加热。 扩展阅读
本教学案例研究大气压下干燥空气中的同轴直流电晕放电,模型尺寸和工作条件与采用线-板配置的静电除尘器相似。内线电极的半径为 100 mm,电极之间的间隙为 10 cm。 该模型采用漂移 ... 扩展阅读
此模型提出了通过电子的共振加热维持的二维轴对称偶极微波等离子体源,这称为电子回旋共振 (ECR),在适当的高磁通密度与微波同时存在时发生。 这是一个高级模型,展示 COMSOL 的多项独特功能,包括: ... 扩展阅读
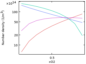
本教学案例求解氩气/氧气混合物中的电感耦合等离子体反应器。该模型计算流体流动和气体加热,并讨论对电负性放电进行建模的重要方面和策略。 扩展阅读
本例研究在点对面配置中产生的直流等离子体弧的电气和热特性。其中假设放电处于局部热力学平衡状态,将等离子体视为一种导电流体介质,并使用磁流体动力学方法进行建模。该模型演示如何使用“感应/直流耦合平衡放电 ... 扩展阅读
本模型验证了在 51.8kV 下,由大气压下的干空气分离的两个相距 2cm 的球体之间开始形成流注。通过沿两个球体之间的电场线对汤森系数进行积分来检测电击穿。当积分后的汤森系数达到一定的阈值时,就会形成流注,从而造成短路。 扩展阅读
