“案例下载”页面提供丰富的 COMSOL Multiphysics® 教学案例和 App 演示文件,涉及电气、结构、声学、流体、传热和化工等各个学科领域。欢迎下载这些教学案例或 App 演示文件及其随附的操作说明,将其作为您建模仿真工作的绝佳起点。
您可以使用左侧的【快速搜索】工具查找与您的专业领域相关的案例模型和仿真 App。请注意,此处提供的许多案例也可以通过 COMSOL Multiphysics® 软件内置的“案例库”进行访问,该选项位于软件的文件 菜单中。
中文 带有此标签的案例包含中文 PDF 文档。
电容耦合等离子体的基础物理学相当复杂,即使是相当简单的几何构型和等离子体化学反应也是如此。此模型基于多个不同计算结果对“电容耦合等离子体”物理场接口进行基准测试。 扩展阅读
求解玻尔兹曼方程可用于验证电子碰撞截面,传统方法是通过求解玻尔兹曼方程的两项近似,并将结果与群集实验进行比较来推断碰撞截面的集合。本模型求解了玻尔兹曼方程的两项近似,并将计算得到的漂移速度和电子温度与实验数据进行了比较。 扩展阅读
在低温等离子体中,电子传输行为与电子能量分布函数 (EEDF) 密切相关。通常,这种能量分布函数可近似为麦克斯韦分布,但实际过程中常处于非平衡状态。如果要在空间相关模型中纳入非平衡 EEDF 特性 ... 扩展阅读
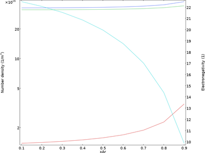
本例使用全局模型研究中等压力条件下的 SF6/氩等离子体反应器,并包含重粒子热方程的求解。通过对输入功率和氩摩尔分数进行参数化扫描,深入分析了反应器的性能变化。 扩展阅读
本教学案例以电感耦合等离子体反应器为研究对象,模拟硅烷/氩气混合气体环境下的非晶硅沉积过程。通过仿真分析晶圆表面沉积速率的分布特征,并探究其随硅烷摩尔分数和输入功率的变化规律。 扩展阅读
本教学模型用于分析微波等离子体炬的工作特性。等离子体在插入矩形波导的介质管内产生,仿真以完全自洽的方式,求解等离子体在传递与加热、微波电磁场、流体流动以及传热之间的多物理场耦合方程。 扩展阅读
本模型分析 LED 中键合线的焦耳热和热膨胀现象,旨在计算键合线因发热导致的温升幅度,以及由热膨胀引发的机械应力。这些应力结果可用于评估连接 LED 与框架的楔形焊点和球形焊点的疲劳风险。 扩展阅读
