“案例下载”页面提供丰富的 COMSOL Multiphysics® 教学案例和 App 演示文件,涉及电气、结构、声学、流体、传热和化工等各个学科领域。欢迎下载这些教学案例或 App 演示文件及其随附的操作说明,将其作为您建模仿真工作的绝佳起点。
您可以使用左侧的【快速搜索】工具查找与您的专业领域相关的案例模型和仿真 App。请注意,此处提供的许多案例也可以通过 COMSOL Multiphysics® 软件内置的“案例库”进行访问,该选项位于软件的文件 菜单中。
中文 带有此标签的案例包含中文 PDF 文档。
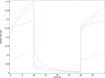
This example computes the power losses in a lithium-ion battery when exposed to high current pulses in a ... 扩展阅读
此模型描述通过理想化三维几何结构建模的锂离子单电池的特性,其中的几何结构模拟多孔电极中的结构细节。此类模型称为异构模型。 异构模型的建模方法不同于典型的电池模型,如 Newman 模型。在均质模型中,体积分数 ... 扩展阅读
This model demonstrates how to optimize the charging profile of a battery using gradient based optimization. ... 扩展阅读
本模型是一维锂离子电池的基础模板,涵盖物理场、几何及网格设置。 模型中使用四个锂化参数,用于定义负极与正极之间的相对平衡关系,并引入全局电池荷电状态 (SOC) 变量。 此外 ... 扩展阅读
在确定要将电池用于哪种类型的设备时,电池可能具有的能量和功率输出是要考虑的关键属性。 高倍率性能的电池能够产生相当大的功率,也就是说,即使在高电流负载下,它也几乎不会发生极化(电压损失)。而低倍率性能电池的特性则相反 ... 扩展阅读
本例针对 10 mHz 至 1000 Hz 之间的谐波扰动,对具有 LTO 负极和 NCA 正极的锂离子电池阻抗进行了建模。模型在正极导电材料中引入了附加的双层电流 ... 扩展阅读
此模型演示“锂离子电池”接口,用于研究锂离子电池在给定材料属性情况下的充放电过程。几何结构是一维的,模型为等温状态。电池开发人员可以使用此模型来研究材料选择、尺寸和活性材料颗粒尺寸分布等各种设计参数的影响,此例中 ... 扩展阅读
The electrodes of a lithium-ion battery are porous and consist of an active solid electrode material, a ... 扩展阅读
该模型模拟液冷电池组中多个单电池和散热片的温度分布,在三维模式下求解载荷循环过程中的操作点。锂电池的全一维电化学模型可计算平均热源。 扩展阅读
本例介绍锂离子电池的等温单颗粒模型公式。单颗粒模型是锂离子电池一维公式的简化,并附有一些假设条件。 该模型通常适用于中低电流的情况。请注意,假设的有效性和单颗粒模型的适用性还取决于模型中使用的参数值和电极 ... 扩展阅读
